Awasome Boolean Algebra Simplification Worksheet With Answers References
Awasome Boolean Algebra Simplification Worksheet With Answers References. The variables that can have two discrete values false (0) and true (1) and the operations of logical significance are dealt with boolean algebra. These expressions can be reduced into a minimal sop by repeatedly applying the boolean algebra properties we saw in lecture.) 1.

It may reduce the number of gates. B.(a+ ̅ a ) using rule 1c, b.(1) = b. = a + b.c a a b f b f c c
The Worksheets Can Be Made Either As Pdf Or Html Files (The Latter Are Editable In A Word Processor).
The answer to this very good question is “no.” binary is simply a numeration system for expressing real numbers, while boolean is a completely different number system (like integer numbers are too irrational numbers, for example). Explain how this can be so, being that there is no statement saying 1×2 = 2 or 2×3 = 6. Simplifying boolean expressions pdf worksheets answers.
De Revision Team Created Date:
If most students simply present the answer shown to them in the worksheet, challenge them during discussion to present alternative solutions. Boolean algebra expression simplifier & solver. This question underscores an important lesson about boolean algebra and logic simplification in general:
It Is Represented By A Dot (.).
The order of precedence is shown below (highest priority first): Topic exploration pack, boolean algebra worksheet. The expressions include ones where you need to combine like terms (such as 2 t − 9 − 6 t + 2), use.
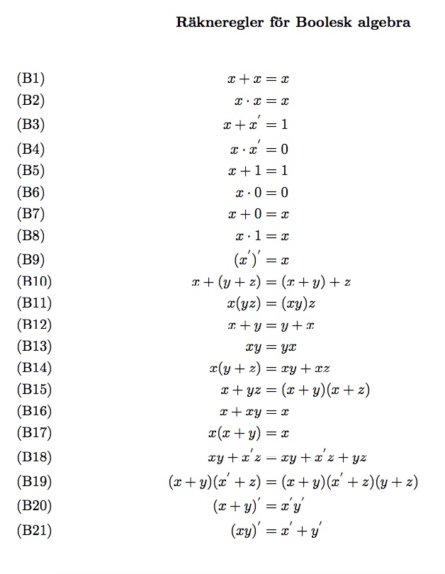
For Example, The Complete Set Of Rules For Boolean Addition
We are said to be ‘multiplying’ when we perform an and in binary, i.e. In algebraic expressions there is an order of precedence for the operations. Expression with up to 12 different variables or any set of minimum terms.
= B 9 A B+B 1:
This worksheet and quiz permits your adroitness of these credentials: If x and y are boolean variables, which one of the following is the equivalent of x ⊕ y ⊕ xy equivalent to? There is also an order of precedence for the operations used in boolean algebra.